快讯
 母婴行业观察

 热文

“催生大礼包”接连出台,母婴店能吃到这波红利吗?
2025-12-23 11:49

生育补贴、渠道整合、上市扩张...哪个关键词“硬控”了你的2025
2026-01-14 10:18

战略投资灵优智学,这家玩具厂如何用AI“换道超车”?
2026-02-11 12:18
活力满格,思维在线 | 高活力人群的“满格buff”,阿克携Superba®南极磷虾油赋能巅峰表现
作者/营养品观察
导读:米兰冬奥会刚刚落下帷幕,赛场上运动员挑战极限、突破自我的瞬间依旧令人热血沸腾。随着全民运动热情的持续高涨,科学的运动营养补充不仅是运动员稳住竞技状态、突破自身极限的关键支撑,更成为大众追求健康生活品质的刚需选择。
在此背景下,被多项研究证实可提升运动表现、加速运动后恢复、改善肌肉健康状况的南极磷虾油,受关注度持续攀升。而作为全球磷虾油领域的领军企业,挪威阿克海洋生物人类营养公司(Aker BioMarine)也于近期牵手挪威板类运动协会(Brettforbundet),为协会运动员提供源自南极的纯净磷虾油支持,其中就包括3位参加本届冬奥会的选手。
这一合作不仅是原料品牌与专业运动协会的深度携手,更是科学营养赋能巅峰表现的一次实践。从众所周知的心脏健康营养成分,到支持国民身体活力乃至竞技体育的专业方案,阿克人类营养正凭借硬核科研实力与精准需求洞察,让源自南极海洋的珍贵营养,走进更多人的日常生活。


运动营养迈入“精准补充时代”
热门成分卡位新刚需
运动营养市场,正迎来一场全新的消费转向。
近年来,随着运动人群基数的扩大与认知的深化,消费者的需求图谱变得更为精细和复杂。业余跑者不仅关心配速,也开始关注跑步后的关节疼痛;健身爱好者追求肌肉围度,也同样担忧高强度训练带来的炎症反应。运动营养的内涵,正从追求单一的运动表现,向功能优化、运动恢复和长期健康维护演进。
全球运动营养市场的蓬勃发展,印证了这一消费趋势的变革。据Grand View Research的数据,全球运动营养市场规模目前已达到660亿美元,到2033年这一数字将攀升至1380亿美元;而中国市场则呈现“潜力足、增速快”的蓝海特征,艾媒数据显示,2030年中国运动营养食品市场规模有望增至209.3亿元,年均增长11.56%。
从消费人群来看,运动营养的受众早已突破专业运动员与健身爱好者的范畴,覆盖了户外达人、日常轻运动人群等多元群体。《2025-2026年中国运动营养食品市场消费趋势研究报告》显示,71.4%的消费者会选择运动营养食品进行运动后补充,能量补充、机能提升类产品更成为消费刚需。
(数据来源:艾媒数据中心)
运动营养市场繁荣滋长的背景下,兼具提升运动表现、加速运动后恢复、改善肌肉与关节健康等多重健康益处的磷虾油,也受到了越来越多高活力人群的青睐。
磷虾油这种提取自南极海域野生磷虾的新型海洋功能性油脂,因标志性的深红色泽,被人们赋予了“海洋红宝石”的美誉,其天然蕴含磷脂型Omega-3脂肪酸(EPA和DHA)、胆碱、虾青素等多种活性营养,可精准匹配不同高活力人群的核心营养需求,已成为运动营养领域备受关注的热门成分。
磷虾油专家走入“专业运动场景”
硬核营养赋能满格表现
磷虾油的市场热度,本质是其营养价值与高活力人群需求的高度契合,而阿克人类营养与挪威板类运动协会的续约合作,更是让磷虾油的营养功效在专业运动领域得到了实践验证。
早在两年前,双方就已建立合作,阿克人类营养为挪威单板滑雪、滑板、冲浪国家队运动员提供Superba®南极磷虾油,并纳入日常饮食。经过持续实践,这套科学营养方案能够有效帮助运动员在高强度训练和比赛周期中维持良好的身体状态,促进恢复,并支持关节健康。
多项研究数据也印证了磷虾油对运动人群的广泛益处:一项针对47名参加极限铁人三项运动员的对照研究证实[1],相比安慰剂组选手,补充Superba磷虾油的选手可显著维持并快速恢复高强度赛事后的胆碱水平,帮助身体更快回归稳态;另一项针对力量训练运动员的12周研究显示[2],与安慰剂相比,每日补充磷虾油可使 Omega-3指数从4.82%显著提升至6.77%,同时显著提高血浆胆碱水平,增强运动后抗氧化能力。
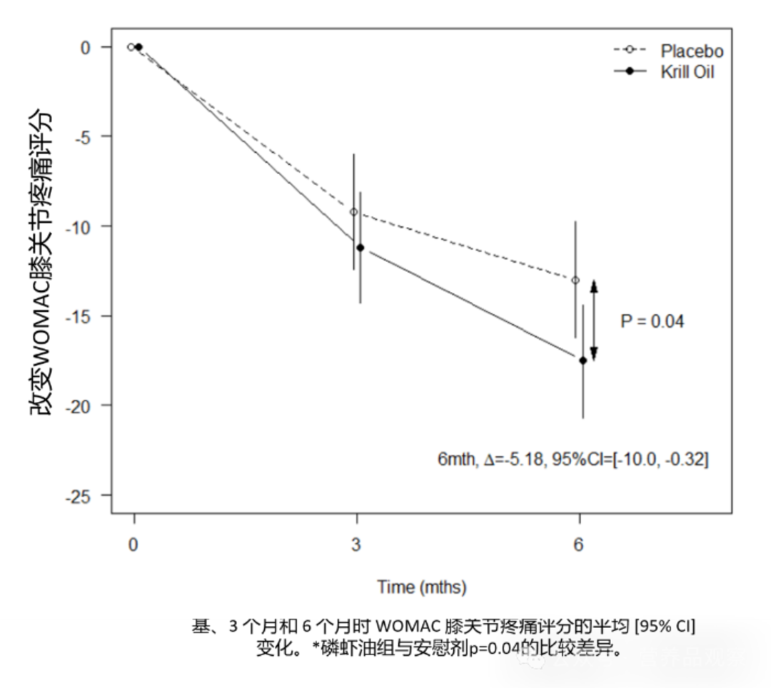
从作用机制来看,磷虾油中的磷脂型Omega-3可减轻运动后炎症反应、缓解肌肉酸痛并减少肌肉的氧化损伤[3];胆碱参与肌肉收缩关键物质生成,帮助提升肌肉运动的耐力和恢复能力;虾青素则作为强效抗氧化剂,能够降低运动带来的轻氧化伤害。此外,研究还证实,磷虾油有助于维持中老年人群肌肉功能[4]与改善关节疼痛[5],提高握力、膝关节伸肌力量和大腿肌肉厚度,更有助于这一群体轻松开展日常运动,维持灵活和高质量的生活。


(左图:65岁及以上人群服用磷虾油6个月后的身体情况数据变化;右图:40至65岁患有关节炎症人群服用磷虾油后疼痛数据对比图)
这些扎实的科学证据,不仅充分验证了磷虾油在运动营养领域的价值,更推动了消费者对相关产品的认知深入与需求升级,即从过去“只关注成分含量”转向追求“更纯净的来源、更高效的吸收、更便捷的体验”,磷虾油营养补剂的品牌竞争,也由此迈向了全新阶段。
南极纯净营养深入“全民日常生活”
阿克人类营养匠心筑壁垒
当消费者需求聚焦于“纯净、高效、便捷”三大维度,而阿克人类营养的独特之处,是从一开始就扮演了“原料科学家”和“生态系统管理者”的双重角色,这也构筑了其难以被复制的核心护城河。
首先,纯净在于对源头的绝对掌控。阿克采用专利Eco-Harvesting生态捕捞技术,实现了对南极磷虾种群和海洋环境友好的可持续捕捞。从南极纯净海域高效泵吸鲜活磷虾上船、即刻加工,最大程度锁住了原料的新鲜与活性,从源头确保了产品的纯净底色。


其次,高效在于独特的吸收机制。磷虾油中的核心成分Omega-3(EPA、DHA)与磷脂天然结合,形成独特的“磷脂型”结构。这种结构使其在人体内可不经胆汁乳化,减少了额外代谢路径的转化和吸收[6],吸收效率远优于普通鱼油。
最后,便捷与体验优势则直接体现在产品本身。得益于Flexitech纯化技术专利,Superba南极磷虾油在温和提取、去除多余盐分和杂质的同时,完整保留了营养成分的天然活性。这使得最终产品呈现出红宝石般的剔透光泽,腥味极低,颗粒更小易于吞咽,在视觉、嗅觉和服用体验上均定义了高端磷虾油的标准,显著提升了消费者日常补充的愉悦感和依从性。
作为全球磷虾油领域的领导者,阿克人类营养的综合实力,远不止于提供一款优质的磷虾油,其背后还拥有20年的专研积淀、50余项临床研究及90多项专利技术的坚实壁垒。不仅如此,公司还以海洋Omega-3专家的身份持续创新,推出了如Revervia藻油与Lysoveta溶血磷脂酰胆碱(LPC)等创新原料。其中, Revervia藻油以60%高含量纯植物DHA,助力大脑发育与视力保护,为母婴及素食人群提供纯净可持续的Omega-3营养;Lysoveta则凭借独特溶血磷脂酰胆碱(LPC)结构,实现EPA,DHA和胆碱“脑部靶向递送”,帮助大众维护大脑、眼睛健康发展。多款创新原料相辅相成,不断拓展精准营养的边界,满足多元化的健康需求。



结语
巅峰之上,是对卓越的极致追求;深海之下,是对纯净的永恒坚守。阿克人类营养始终坚守可持续发展承诺,从南极磷虾的生态捕捞到全透明价值链,从循环经济实践到绿色创新研发,实现营养与环保的共荣共生。未来,阿克将继续以专业实力深耕海洋营养,传递健康生活理念,让南极纯净营养赋能每一位高活力人群,助力全民突破运动健康、加速恢复,真正实现“活力满格,思维在线”的健康生活新境界!
注:本篇是「营养品观察」与「阿克人类营养」联合打造的「ACTIVE BODY. ACTIVE MIND活力满格,思维在线」系列专栏第一期,下期,我们将从冰雪赛场转向更广阔的生活场景,看磷虾油如何以科学配方与纯净原料,成为健康体重管理的高效科学选择,敬请期待!

参考文献:
[1]Storsve,A.B.etal.,Front.Nutri.,2020.7:p.133.
[2]Drobnic,F.etal.,Nutrients,2021.13(12):p.4237.
[3]Philpott JD, Witard OC, Galloway SDR. Applications of omega-3 polyunsaturated fatty acid supplementation for sport performance. Res Sports Med. 2019;27(2):219-237.[4]Stonehouse,W.,B.etal.,AJCN,2022.116(3):p.672-685.
[5]Krill oil improved osteoarthritic knee pain in adults with mild to moderate knee osteoarthritis: a 6-month multicenter, randomized, double-blind, placebo-controlled trial
[6]Health effects of dietary phospholipids
文章来源:母婴行业观察
版权声明:转载母婴行业观察的原创文章,需注明文章来源以及作者名称。公众号转载请联系开白小助手(微信号:zhangxiaoxian1015)。违规转载法律必究。
扫描二维码,第一时间获取母婴行业的资讯和动态。
从此和母婴行业观察建立直接联系。
相关推荐
本栏目文字内容归myguancha.com所有,任何单位及个人未经许可,不得擅自转载使用。
Copyright © 母婴行业观察 |  京ICP备12043030号-6
参与评论